Organic Chemistry/Alkenes
<< Haloalkanes |Alkenes| Alkynes >>
Alkenes are aliphatic hydrocarbons containing carbon-carbon double bonds and general formula CnH2n.
Naming Alkenes
Alkenes are named as if they were alkanes, but the "-ane" suffix is changed to "-ene". If the alkene contains only one double bond and that double bond is terminal (the double bond is at one end of the molecule or another) then it is not necessary to place any number in front of the name.
butane: C4H10 (CH3CH2CH2CH3)
butene: C4H8 (CH2=CHCH2CH3)
If the double bond is not terminal (if it is on a carbon somewhere in the center of the chain) then the carbons should be numbered in such a way as to give the first of the two double-bonded carbons the lowest possible number, and that number should precede the "ene" suffix with a dash, as shown below.
correct: pent-2-ene (CH3CH=CHCH2CH3)
incorrect: pent-3-ene (CH3CH2CH=CHCH3)
The second one is incorrect because flipping the formula horizontally results in a lower number for the alkene.
If there is more than one double bond in an alkene, all of the bonds should be numbered in the name of the molecule - even terminal double bonds. The numbers should go from lowest to highest, and be separated from one another by a comma. The IUPAC numerical prefixes are used to indicate the number of double bonds.
octa-2,4-diene: CH3CH=CHCH=CHCH2CH2CH3
deca-1,5-diene: CH2=CHCH2CH2CH=CHCH2CH2CH2CH3
Note that the numbering of "2-4" above yields a molecule with two double bonds separated by just one single bond. Double bonds in such a condition are called "conjugated", and they represent an enhanced stability of conformation, so they are energetically favored as reactants in many situations and combinations.
EZ Notation
Earlier in stereochemistry, we discussed cis/trans notation where cis- means same side and trans- means opposite side. Alkenes can present a unique problem, however in that the cis/trans notation sometimes breaks down. The first thing to keep in mind is that alkenes are planar and there's no rotation of the bonds, as we'll discuss later. So when a substituent is on one side of the double-bond, it stays on that side.

The above example is pretty straight-forward. On the left, we have two methyl groups on the same side, so it's cis-but-2-ene. And on the right, we have them on opposite sides, so we have trans-but-2-ene. So in this situation, the cis/trans notation works and, in fact, these are the correct names.

From the example above, how would you use cis and trans? Which is the same side and which is the opposite side? Whenever an alkene has 3 or 4 differing substituents, one must use the what's called the EZ nomenclature, coming from the German words, Entgegen (opposite) and Zusammen (same).
|
E: Entgegen, opposite sides of double bond |
Let's begin with (Z)-3-methylpent-2-ene. We begin by dividing our alkene into left and right halves. On each side, we assign a substituent as being either a high priority or low priority substituent. The priority is based on the atomic number of the substituents. So on the left side, hydrogen is the lowest priority because its atomic number is 1 and carbon is higher because its atomic number is 6.
On the right side, we have carbon substituents on both the top and bottom, so we go out to the next bond. On to the top, there's another carbon, but on the bottom, a hydrogen. So the top gets high priority and the bottom gets low priority.
Because the high priorities from both sides are on the same side, they are Zusammen (as a mnemonic, think 'Zame Zide').
Now let's look at (E)-3-methylpent-2-ene. On the left, we have the same substituents on the same sides, so the priorities are the same as in the Zusammen version. However, the substituents are reversed on the right side with the high priority substituent on the bottom and the low priority substituent on the top. Because the High and Low priorities are opposite on the left and right, these are Entgegen, or opposite.
The system takes a little getting used to and it's usually easier to name an alkene than it is to write one out given its name. But with a little practice, you'll find that it's quite easy.
Comparison of E-Z with cis-trans
| (Z)-but-2-ene | (E)-but-2-ene |
![]() |
|
| cis-but-2-ene | trans-but-2-ene |
To a certain extent, the Z configuration can be regarded as the cis- isomer and the E as the trans- isomers. This correspondence is exact only if the two carbon atoms are identically substituted.
In general, cis-trans should only be used if each double-bonded carbon atom has a hydrogen atom (i.e. R-CH=CH-R').
IUPAC Gold book on cis-trans notation.
IUPAC Gold book on E-Z notation.
Properties
Alkenes are molecules with carbons bonded to hydrogens which contain at least two sp2 hybridized carbon atoms. That is, to say, at least one carbon-to-carbon double bond, where the carbon atoms, in addition to an electron pair shared in a sigma (σ) bond, share one pair of electrons in a pi (π) bond between them.
The general formula for an aliphatic alkene is: CnH2n -- e.g. C2H4 or C3H6
Diastereomerism
Restricted rotation
Because of the characteristics of pi-bonds, alkenes have very limited rotation around the double bonds between two atoms. In order for the alkene structure to rotate the pi-bond would first have to be broken - which would require about 60 or 70 kcal of energy per mol. For this reason alkenes have different chemical properties based on which side of the bond each atom is located.
For example, but-2-ene exists as two diastereomers:
| (Z)-but-2-ene | (E)-But-2-ene |
![]() |
|
| cis-but-2-ene | trans-but-2-ene |
Relative stability
Observing the reaction of the addition of hydrogen to 1-butene, (Z)-2-butene, and (E)-2-butene, we can see that all of the products are butane. The difference between the reactions is that each reaction has a different energy: -30.3 kcal/mol for 1-butene, -28.6 kcal/mol for (Z)-2-butene and -27.6 kcal/mol for (E)-2-butene. This illustrates that there are differences in the stabilities of the three species of butene isomers, due to the difference in how much energy can be released by reducing them.
The relative stability of alkenes may be estimated based on the following concepts:
- An internal alkene (the double bond not on the terminal carbon) is more stable than a terminal alkene (the double bond is on a terminal carbon).
Internal alkenes are more stable than terminal alkenes because they are connected to more carbons on the chain. Since a terminal alkene is located at the end of the chain, the double bond is only connected to one carbon, and is called primary (1°). Primary carbons are the least stable. In the middle of a chain, a double bond could be connected to two carbons. This is called secondary (2°). The most stable would be quaternary (4°).
- In general, the more and the bulkier the alkyl groups on a sp2-hybridized carbon in the alkene, the more stable that alkene is.
- A trans double bond is more stable than a cis double bond.
Reactions
Preparation
There are several methods for creating alkenes.[1] Some of these methods, such as the Wittig reaction, we'll only describe briefly in this chapter and instead, cover them in more detail later in the book. For now, it's enough to know that they are ways of creating alkenes.
Dehydrohalogenation of Haloalkanes

Alkyl halides are converted into alkenes by dehydrohalogenation: elimination of the elements of hydrogen halide. Dehydrohalogenation involves removal of the halogen atom together with a hydrogen atom from a carbon adjacent to the one bearing the halogen. It uses the E2 elimination mechanism that we'll discuss in detail at the end of this chapter The haloalkane must have a hydrogen and halide 180° from each other on neighboring carbons. If there is no hydrogen 180° from the halogen on a neighboring carbon, the reaction will not take place. It is not surprising that the reagent required for the elimination of what amounts to a molecule of acid is a strong base for example: alcoholic KOH.
In some cases this reaction yields a single alkene. and in other cases yield a mixture. n-Butyl chloride, for example, can eliminate hydrogen only from C-2 and hence yields only 1-butene. sec-Butyl chloride, on the other hand, can eliminate hydrogen from either C-l or C-3 and hence yields both 1-butene and 2-butene. Where the two alkenes can be formed, 2-butene is the chief product.
Dehalogenation of Vicinal Dihalides


The dehalogenation of vicinal dihalides (halides on two neighboring carbons, think "vicinity") is another method for synthesizing alkenes. The reaction can take place using either sodium iodide in a solution of acetone, or it can be performed using zinc dust in a solution of either heated ethanol or acetic acid.
This reaction can also be performed with magnesium in ether, though the mechanism is different as this actually produces, as an intermediate, a Grignard reagent that reacts with itself and causes an elimination, resulting in the alkene.
Dehydration of alcohols

An alcohol is converted into an alkene by dehydration: elimination of a molecule of water. Dehydration requires the presence of an acid and the application of heat. It is generally carried out in either of two ways, heating the alcohol with sulfuric or phosphoric acid to temperatures as high as 200, or passing the alcohol vapor over alumina, Al2O3 , at 350-400, alumina here serving as a Lewis acid.
Ease of dehydration of alcohols : 3° > 2° > 1°
Where isomeric alkenes can be formed, we again find the tendency for one isomer to predominate. Thus, sec-butyl alcohol, which might yield both 2-butene and 1-butene, actually yields almost exclusively the 2-isomer
The formation of 2-butene from n-butyl alcohol illustrates a characteristic of dehydration that is not shared by dehydrohalogenalion: the double bond can be formed at a position remote from the carbon originally holding the -OH group. This characteristic is accounted for later. It is chiefly because of the greater certainty as to where the double bond will appear that dehydrohalogeation is often preferred over dehydration as a method of making alkenes.
Reduction of Alkynes
Reduction of an alkyne to the double-bond stage can yield either a cis-alkene or a trans-alkene, unless the triple bond is at the end of a chain. Just which isomer predominates depends upon the choice of reducing agent.
Predominantly trans-alkene is obtained by reduction of alkynes with sodium or lithium in liquid ammonia. Almost entirely cis-alkene (as high as 98%) is obtained by hydrogenation of alkynes with several different catalysts : a specially prepared palladium called Lindlar's catalyst; or a nickel boride called P-2 catalyst.
Each of these reactions is, then, highly stereoselective. The stereoselectivity in the cis-reduction of alkynes is attributed, in a general way, to the attachment of two hydrogens to the same side of an alkyne sitting on the catalyst surface; presumably this same stereochemistry holds for the hydrogenation of terminal alkynes which cannot yield cis- and trans-alkenes.
Wittig Reaction

Markovnikov's Rule
Before we continue discussing reactions, we need to take a detour and discuss a subject that's very important in Alkene reactions, "Markovnikov's Rule." This is a simple rule stated by the Russian Vladmir Markovnikov in 1869, as he was showing the orientation of addition of HBr to alkenes.
His rule states:"When an unsymmetrical alkene reacts with a hydrogen halide to give an alkyl halide, the hydrogen adds to the carbon of the alkene that has the greater number of hydrogen substituents, and the halogen to the carbon of the alkene with the fewer number of hydrogen substituents" (This rule is often compared to the phrase: "The rich get richer and the poor get poorer." Aka, the Carbon with the most Hydrogens gets another Hydrogen and the one with the least Hydrogens gets the halogen)
This means that the nucleophile of the electrophile-nucleophile pair is bonded to the position most stable for a carbocation, or partial positive charge in the case of a transition state.
Examples
Here the Br attaches to the middle carbon over the terminal carbon, because of Markovnikov's rule, and this is called a Markovnikov product.
Markovnikov product
The product of a reaction that follows Markovnikov's rule is called a Markovnikov product.
Markovnikov addition
Markovnikov addition is an addition reaction which follows Markovnikov's rule, producing a Markovnikov product.
Anti-Markovnikov addition
Certain reactions produce the opposite of the Markovnikov product, yielding what is called anti-Markovnikov product. That is, hydrogen ends up on the more substituted carbon of the double bond. The hydroboration/oxidation reaction that we'll discuss shortly, is an example of this, as are reactions that are conducted in peroxides.
A modernized version of Markovnikov's rule often explains the "anti-Markovnikov" behavior. The original Markovnikov rule predicts that the hydrogen (an electrophile) being added across a double bond will end up on the carbon with more hydrogens. Generalizing to all electrophiles, it is really the electrophile which ends up on the carbon with the greatest number of hydrogens. Usually hydrogen plays the role of the electrophile; however, hydrogen can also act as an nucleophile in some reactions. The following expansion of Markovnikov's rule is more versatile:
"When an alkene undergoes electrophilic addition, the electrophile adds to the carbon with the greatest number of hydrogen substituents. The nucleophile adds to the more highly substituated carbon."
Or more simply:
"The species that adds first adds to the carbon with the greatest number of hydrogens."
The fact that some reactions reliably produce anti-Markovnikov products is actually a powerful tool in organic chemistry. For example, in the reactions we discuss below, we'll show two different ways of creating alcohols from alkenes: Oxymercuration-Reduction and Hydroboration/Oxidation. Oxymercuration produces a Markovnikov product while Hydroboration produces an anti-Markovnikov product. This gives the organic chemist a choice in products without having to be stuck with a single product that might not be the most desired.
Why it works
Markovnikov's rule works because of the stability of carbocation intermediates. Experiments tend to reveal that carbocations are planar molecules, with a carbon that has three substituents at 120° to each other and a vacant p orbital that is perpendicular to it in the 3rd plane. The p orbital extends above and below the trisubstituent plane.
This leads to a stabilizing effect called hyperconjugation. Hyperconjugation is what happens when there is an unfilled (antibonding or vacant) C-C π orbital and a filled C-H σ bond orbital next to each other. The result is that the filled C-H σ orbital interacts with the unfilled C-C π orbital and stabilizes the molecule. The more highly substituted the molecule, the more chances there are for hyperconjugation and thus the more stable the molecule is.
Another stabilizing effect is an inductive effect.
Exceptions to the Rule
There are a few exceptions to the Markovnikov rule, and these are of tremendous importance to organic synthesis.
- HBr in Hydrogen Peroxide: Due to formation of free radicals, and the mechanism in which it reacts, the alkyl free radical forms at the middle atom, where it is most stable, and a hydrogen attaches itself here. Note here hydrogen addition is the second step, unlike in the above example.
Addition reactions
Hydroboration
Hydroboration is a very useful reaction in Alkenes, not as an end product so much as an intermediate product for further reactions. The primary one we'll discuss below is the Hydroboration/Oxidation reaction which is actually a hydroboration reaction followed by a completely separate oxidation reaction.

The addition of BH3 is a concerted reaction in that several bonds are broken and formed at the same time. Hydroboration happens in what's called syn-addition because the boron and one of its hydrogens attach to the same side of the alkene at the same time. As you can see from the transition state in the center of the image, this produces a sort of box between the two alkene carbons and the boron and its hydrogen. In the final step, the boron, along with its other two hydrogens, remains attached to one carbon and the other hydrogen attaches to the adjacent carbon.
This description is fairly adequate, however, the reaction actually continues to happen and the -BH2 continue to react with other alkenes giving an R2BH and then again, until you end up with a complex of the boron atom attached to 3 alkyl groups, or R3B.
This trialkyl-boron complex is then used in other reactions to produce various products.
![]() |
![]() |
Borane, in reality, is not stable as BH3. Boron, in this configuration has only 6 electrons and wants 8, so in its natural state it actually creates the B2H6 complex shown on the left.
Furthermore, instead of using B2H6 itself, BH3 is often used in a complex with tetrahydrofuran (THF) as shown in the image on the right.In either situation, the result of the reactions are the same.
Hydroboration/Oxidation

With the reagent diborane, (BH3)2, alkenes undergo hydroboration to yield alkylboranes, R3B, which on oxidation give alcohols.The reaction procedure is simple and convenient, the yields are exceedingly high, and the products are ones difficult to obtain from alkenes in anyother way.
Diborane is the dimer of the hypothetical BH3 (borane) and, in the reactions that concern us, acts much as though it were BH3 . Indeed, in tetrahydrofuran, one of the solvents used for hydroboration, the reagent exists as the monomer, in the form of an acid-base complex with the solvent.
Hydroboration involves addition to the double bond of BH3 (or, in following stages, BH2R and BHR2), with hydrogen becoming attached to one doubly-bonded carbon, and boron to the other. The alkylborane can then undergo oxidation, in which the boron is replaced by -OH.
Thus, the two-stage reaction process of hydroboration-oxidation permits, in effect, the addition to the carbon-carbon double bond of the elements of H-OH.
Reaction is carried out in an ether, commonly tetrahydrofuran or "diglyme" (diethylene glycol methyl ether, CH3OCH2CH2OCH2CH2OCH3). Diborane is commercially available in tetrahydrofuran solution. The alkylboranes are not isolated, but are simply treated in situ with alkaline hydrogen peroxide.
Stereochemistry and Orientation
Hydroboration-oxidation, then, converts alkenes into alcohols. Addition is highly regiospecific; the preferred product here, however, is exactly opposite to the one formed by oxymercuration-demercuration or by direct acid-catalyzed hydration.
The hydroboration-oxidation process gives products corresponding to anti-Markovnikov addition of water to the carbon-carbon double bond.
The reaction of 3,3-dimethyl-l -butene illustrates a particular advantage of the method. Rearrangement does not occur in hydroboration evidently because carbonium ions are not intermediates and hence the method can be used without the complications that often accompany other addition reactions. The reaction of 1,2-dimethylcyclopentene illustrates the stereochemistry of the synthesis: hydroboration-oxidation involves overall syn addition.
Oxymercuration/Reduction

Alkenes react with mercuric acetate in the presence of water to give hydroxymercurial compounds which on reduction yield alcohols.
The first stage, oxymercuration, involves addition to the carbon-carbon double bond of -OH and -HgOAc. Then, in reduction, the -HgOAc is replaced by -H. The reaction sequence amounts to hydration of the alkene, but is much more widely applicable than direct hydration.
The two-stage process of oxymercuration/reduction is fast and convenient, takes place under mild conditions, and gives excellent yields often over 90%. The alkene is added at room temperature to an aqueous solution of mercuric acetate diluted with the solvent tetrahydrofuran. Reaction is generally complete within minutes. The organomercurial compound is not isolated but is simply reduced in situ by sodium borohydride, NaBH4. (The mercury is recovered as a ball of elemental mercury.)
Oxymercuration/reduction is highly regiospecific, and gives alcohols corresponding to Markovnikov addition of water to the carbon-carbon double bond.
Oxymercuration involves electrophilic addition to the carbon-carbon double bond, with the mercuric ion acting as electrophile. The absence of rearrangement and the high degree of stereospecificity (typically anti) in the oxymercuration step argues against an open carbonium ion as intermediate. Instead, it has been proposed, there is formed a cyclic mercurinium ion, analogous to the bromonium and chloronium ions involved in the addition of halogens. In 1971, Olah reported spectroscopic evidence for the preparation of stable solutions of such mercurinium ions.
The mercurinium ion is attacked by the nucleophilic solvent water, in the present case to yield the addition product. This attack is back-side (unless prevented by some structural feature) and the net result is anti addition, as in the addition of halogens. Attack is thus of the SN2 type; yet the orientation of addition shows that the nucleophile becomes attached to the more highly substituted carbon as though there were a free carbonium ion intermediate. As we shall see, the transition state in reactions of such unstable threemembered rings has much SN1 character.
Reduction is generally not stereospecific and can, in certain special cases, be accompanied by rearrangement.
Despite the stereospecificity of the first stage, then, the overall process is not,in general, stereospecific. Rearrangements can occur, but are not common. The reaction of 3,3-dimethyl-1-butene illustrates the absence of the rearrangements that are typical of intermediate carbonium ions.
Diels-Alder Reaction
The Diels–Alder reaction is a reaction (specifically, a cycloaddition) between a conjugated diene and a substituted alkene, commonly termed the dienophile, to form a substituted cyclohexene system. The reaction can proceed even if some of the atoms in the newly formed ring are not carbon. Some of the Diels–Alder reactions are reversible; the decomposition reaction of the cyclic system is then called the retro-Diels–Alder.
_red.svg.png)
The Diels–Alder reaction is generally considered one of the more useful reactions in organic chemistry since it requires very little energy to create a cyclohexene ring, which is useful in many other organic reactions
A concerted, single-step mechanism is almost certainly involved; both new carbon-carbon bonds are partly formed in the same transition state, although not necessarily to the same extent. The Diels-Alder reaction is the most important example of cycloaddition. Since reaction involves a system of 4 π electrons (the diene) and a system of 2 π it electrons (the dienophile), it is known as a [4 + 2] cycloaddition.
Catalytic addition of hydrogen
Catalytic hydrogenation of alkenes produce the corresponding alkanes. The reaction is carried out under pressure in the presence of a metallic catalyst. Common industrial catalysts are based on platinum, nickel or palladium, but for laboratory syntheses, Raney nickel (formed from an alloy of nickel and aluminium) is often employed.
The catalytic hydrogenation of ethylene to yield ethane proceeds thusly:
- CH2=CH2 + H2 + catalyst → CH3-CH3
Electrophilic addition
Most addition reactions to alkenes follow the mechanism of electrophilic addition. An example is the Prins reaction, where the electrophile is a carbonyl group.
Halogenation
Addition of elementary bromine or chlorine in the presence of an organic solvent to alkenes yield vicinal dibromo- and dichloroalkanes, respectively.
The decoloration of a solution of bromine in water is an analytical test for the presence of alkenes: CH2=CH2 + Br2 → BrCH2-CH2Br
The reaction works because the high electron density at the double bond causes a temporary shift of electrons in the Br-Br bond causing a temporary induced dipole. This makes the Br closest to the double bond slightly positive and therefore an electrophile.
Hydrohalogenation
Addition of hydrohalic acids like HCl or HBr to alkenes yield the corresponding haloalkanes.
- an example of this type of reaction is: CH3CH=CH2 + HBr → CH3-CHBr-CH3
If the two carbon atoms at the double bond are linked to a different number of hydrogen atoms, the halogen is found preferentially at the carbon with less hydrogen substituents (Markovnikov's rule).
Addition of a carbene or carbenoid yields the corresponding cyclopropane
Oxidation
Alkenes are oxidized with a large number of oxidizing agents. In the presence of oxygen, alkenes burn with a bright flame to form carbon dioxide and water. Catalytic oxidation with oxygen or the reaction with percarboxylic acids yields epoxides.
Reaction with ozone in ozonolysis leads to the breaking of the double bond, yielding two aldehydes or ketones: R1-CH=CH-R2 + O3 → R1-CHO + R2-CHO + H2O
This reaction can be used to determine the position of a double bond in an unknown alkene.
Polymerization
Polymerization of alkenes is an economically important reaction which yields polymers of high industrial value, such as the plastics polyethylene and polypropylene. Polymerization can either proceed via a free-radical or an ionic mechanism.
Substitution and Elimination Reaction Mechanisms
Nucleophilic Substitution Reactions
Nucleophilic substitution reactions (SN1 and SN2) are very closely related to the E1 and E2 elimination reactions, discussed later in this section, and it is generally a good idea to learn the reactions together, as there are parallels in reaction mechanism, preferred substrates, and the reactions sometimes compete with each other.
It's important to understand that substitution and elimination reactions are not associated with a specific compound or mixture so much as they're a representation of how certain reactions take place. At times, combinations of these mechanisms may occur together in the same reaction or may compete against each other, with influences such as solvent or nucleophile choice being the determining factor as to which reaction will dominate.
NoteIn the notation SN1 and SN2,
|
In nucleophilic substitution, a nucleophile attacks a molecule and takes the place of another nucleophile, which then leaves. The nucleophile that leaves is called the leaving group.
Nucleophilic substitutions require
- a nucleophile (such as a Lewis base)
- an electrophile with a leaving group
A leaving group is a charged or neutral moiety (group) which breaks free.
SN1 vs SN2
One of the main differences between SN1 and SN2 is that the SN1 reaction is a 2-step reaction, initiated by disassociation of the leaving group. The SN2 reaction, on the other hand, is a 1-step reaction where the attacking nucleophile, because of its higher affinity for and stronger bonding with the carbon, forces the leaving group to leave. These two things happen in a single step.
These two different mechanisms explain the difference in reaction rates between SN1 and SN2 reactions. SN1 reactions are dependent on the leaving group disassociating itself from the carbon. It is the rate-limiting step and thus, the reaction rate is a first-order reaction whose rate depends solely on that step.
Alternatively, in SN2 reactions, the single step of the nucleophile coming together with the reactant from the opposite side of the leaving group, is the key to its rate. Because of this, the rate is dependent on both the concentration of the nucleophile as well as the concentration of the reactant. The higher these two concentrations, the more frequent the collisions. Thus the reaction rate is a second-order reaction:
- (where Nu: is the attacking nucleophile)
SN2 Reactions
There are primarily 3 things that affect whether an SN2 reaction will take place or not. The most important is structure. That is whether the alkyl halide is on a methyl, primary, secondary, or tertiary carbon. The other two components that determine whether an SN2 reaction will take place or not, are the nucleophilicity of the nucleophile and the solvent used in the reaction.
Reactivity Due to Structure of SN2CH3X > RCH2X > R2CHX >> R3CX |
The structure of the alkyl halide has a great effect on mechanism. CH3X & RCH2X are the preferred structures for SN2. R2CHX can undergo the SN2 under the proper conditions (see below), and R3CX rarely, if ever, is involved in SN2 reactions.

The reaction takes place by the nucleophile attacking from the opposite side of the bromine atom. Notice that the other 3 bonds are all pointed away from the bromine and towards the attacking nucleophile. When these 3 bonds are hydrogen bonds, there's very little steric hinderance of the approaching nucleophile. However, as the number of R groups increases, so does the steric hinderance, making it more difficult for the nucleophile to get close enough to the α-carbon, to expel the bromine atom. In fact, tertiary carbons (R3CX) are so sterically hindered as to prevent the SN2 mechanism from taking place at all.
In the case of this example, a secondary α-carbon, there is still a great deal of steric hinderance and whether the SN2 mechanism will happen will depend entirely on what the nucleophile and solvent are. SN2 reactions are preferred for methyl halides and primary halides.
Another important point to keep in mind, and this can be seen clearly in the example above, during an SN2 reaction, the molecule undergoes an inversion. The bonds attached to the α-carbon are pushed away as the nucleophile approaches. During the transition state, these bonds become planar with the carbon and, as the bromine leaves and the nucleophile bonds to the α-carbon, the other bonds fold back away from the nucleophile. This is particularly important in chiral or pro-chiral molecules, where an R configuration will be converted into an S configuration and vice versa. As you'll see below, this is in contrast to the results of SN1 reactions.
Examples:
- OH- + CH3—Cl → HO—CH3 + Cl-
OH- is the nucleophile, Cl is the electrophile, HOCH3 is the product, and Cl- is the leaving group.
or,
- Na+I- + CH3-Br → I-CH3 + Na+Br-
The above reaction, taking place in acetone as the solvent, sodium and iodide disassociate almost completely in the acetone, leaving the iodide ions free to attack the CH-Br molecules. The negatively charged iodide ion, a nucleophile, attacks the methyl bromide molecule, forcing off the negatively charged bromide ion and taking its place. The bromide ion is the leaving group.
Nucleophilicity
Nucleophilicity is the rate at which a nucleophile displaces the leaving group in a reaction. Generally, nucleophilicity is stronger, the larger, more polarizable, and/or the less stable the nucleophile. No specific number or unit of measure is used. All other things being equal, nucleophiles are generally compared to each other in terms of relative reactivity. For example, a particular strong nucleophile might have a relative reactivity of 10,000 that of a particular weak nucleophile. These relationships are generalities as things like solvent and substrate can affect the relative rates, but they are generally good guidelines for which species make the best nucleophiles.
All nucleophiles are Lewis bases. In SN2 reactions, the preferred nucleophile is a strong nucleophile that is a weak base. Examples of these are N3-, RS-, I-, Br-, and CN-.
Alternatively, a strong nucleophile that's also a strong base can also work. However, as mentioned earlier in the text, sometimes reaction mechanisms compete and in the case of a strong nucleophile that's a strong base, the SN2 mechanism will compete with the E2 mechanism. Examples of strong nucleophiles that are also strong bases, include RO- and OH-.
List of descending nucleophilicitiesI- > Br- > Cl- >> F- > -SeH > -OH > H2O |
Leaving Group
Leaving group is the group on the substrate that leaves. In the case of an alkyl halide, this is the halide ion that leaves the carbon atom when the nucleophile attacks. The tendency of the nucleophile to leave is
Relative Reactivity of Leaving GroupsI- > Br- > Cl- >> F- |
Fluoride ions are very poor leaving groups because they bond very strongly and are very rarely used in alkyl halide substitution reactions. Reactivity of a leaving group is related to its basicity with stronger bases being poorer leaving groups.
Solvent
The solvent can play an important role in SN2 reactions, particularly in SN2 involving secondary alkyl halide substrates, where it can be the determining factor in mechanism. Solvent can also have a great effect on reaction rate of SN2 reactions.
The SN2 mechanism is preferred when the solvent is an aprotic, polar solvent. That is, a solvent that is polar, but without a polar hydrogen. Polar, protic solvents would include water, alcohols, and generally, solvents with polar NH or OH bonds. Good aprotic, polar solvents are HMPA, CH3CN, DMSO, and DMF.
A polar solvent is preferred because it better allows the dissociation of the halide from the alkyl group. A protic solvent with a polar hydrogen, however, forms a 'cage' of hydrogen-bonded solvent around the nucleophile, hindering its approach to the substrate.
Relative Reactivity of SolventsHMPA > CH3CN > DMF > DMSO >> H2O |
SN1 Reactions
The SN1 mechanism is very different from the SN2 mechanism. In some of its preferences, its exactly the opposite and, in some cases, the results of the reaction can be significantly different.
Like the SN2 mechanism, structure plays an important role in the SN1 mechanism. The role of structure in the SN1 mechanism, however, is quite different and because of this, the reactivity of structures is more or less reversed.
Reactivity Due to Structure of SN1CH3X < RCH2X << R2CHX < R3CX |
The SN1 mechanism is preferred for tertiary alkyl halides and, depending on the solvent, may be preferred in secondary alkyl halides. The SN1 mechanism does not operate on primary alkyl halides or methyl halides. To understand why this is so, let's take a look at how the SN1 mechanism works.

At the top of the diagram, the first step is the spontaneous dissociation of the halide from the alkyl halide. Unlike the SN2 mechanism, where the attacking nucleophile causes the halide to leave, the SN1 mechanism depends on the ability of the halide to leave on its own. This requires certain conditions. In particular, the stability of the carbocation is crucial to the ability of the halide to leave. Since we know tertiary carbocations are the most stable, they are the best candidates for the SN1 mechanism. And with appropriate conditions, secondary carbocations will also operate by the SN1 mechanism. Primary and methyl carbocations however, are not stable enough to allow this mechanism to happen.
Once the halide has dissociated, the water acts as a nucleophile to bond to the carbocation. In theSN2 reactions, there is an inversion caused by the nucleophile attacking from the opposite side while the halide is still bonded to the carbon. In the SN1 mechanism, since the halide has left, and the bonds off of the α-carbon have become planar, the water molecule is free to attack from either side. This results in, primarily, a racemic mixture. In the final step, one of the hydrogens of the bonded water molecule is attacked by another water molecule, leaving an alcohol.
Note: Racemic mixtures imply entirely equal amounts of mixture, however this is rarely the case in SN1. There is a slight tendency towards attack from the opposite side of the halide. This is the result some steric hinderence from the leaving halide which is sometimes close enough to the leaving side to block the nucleophile's approach from that side.
Solvent
Like the SN2 mechanism, the SN1 is affected by solvent as well. As with structure, however, the reasons differ. In the SN1 mechanism, a polar, protic solvent is used. The polarity of the solvent is associated with the dielectric constant of the solvent and solutions with high dielectric constants are better able to support separated ions in solution. In SN2 reactions, we were concerned about polar hydrogen atoms "caging" our nucleophile. This still happens with a polar protic solvent in SN1 reactions, so why don't we worry about it? You have to keep in mind the mechanism of the reaction. The first step, and more importantly, the rate-limiting step, of the SN1 reaction, is the ability to create a stable carbocation by getting the halide anion to leave. With a polar protic solvent, just as with a polar aprotic solvent,we're creating a stable cation, however it's the polar hydrogens that stabilize the halide anion and make it better able to leave. Improving the rate-limiting step is always the goal. The "caging" of the nucleophile is unrelated to the rate-limiting step and even in its "caged" state, the second step, the attack of the nucleophile, is so much faster than the first step, that the "caging" can simply be ignored.
Summary
SN1, SN2, E1, and E2, are all reaction mechanisms, not reactions themselves. They are mechanisms used by a number of different reactions. Usually in organic chemistry, the goal is to synthesize a product. In cases where you have possibly competing mechanisms, and this is particularly the case where an SN1 and an E1 reaction are competing, the dominating mechanism is going to decide what your product is, so knowing the mechanisms and which conditions favor one over the other, will determine your product.
In other cases, knowing the mechanism allows you to set up an environment favorable to that mechanism. This can mean the difference between having your product in a few minutes, or sometime around the next ice age.
So when you're designing a synthesis for a product, you need to consider, I want to get product Y, so what are my options to get to Y? Once you know your options and you've decided on a reaction, then you need to consider the mechanism of the reaction and ask yourself, how do I create conditions that are going to make this happen correctly and happen quickly?
Elimination Reactions
Nucleophilic substitution reactions and Elimination reactions share a lot of common characteristics, on top of which, the E1 and SN1 as well as E2 and SN2 reactions can sometimes compete and, since their products are different, it's important to understand them both. Without understanding both kinds of mechanisms, it would be difficult to get the product you desire from a reaction.
In addition, the SN1 and SN2 reactions will be referenced quite a bit by way of comparison and contrast, so it's probably best to read that section first and then continue here.
Elimination reactions are the mechanisms for creating alkene products from haloalkane reactants. E1 and E2 elimination, unlike SN1 and SN2 substitution, mechanisms do not occur with methyl halides because the reaction creates a double bond between two carbon atoms and methylhalides have only one carbon.
NoteIn the notation E1 and E2,
|
E1 vs E2
Reaction rates
E1 and E2 are two different pathways to creating alkenes from haloalkanes. As with SN1 and SN2 reactions, one of the key differences is in the reaction rate, as it provides great insight into the mechanisms.
E1 reactions, like SN1 reactions are 2-step reactions. Also like SN1 reactions, the rate-limiting step is the dissociation of the halide from its alkane, making it a first-order reaction, depending on the concentration of the haloalkane, with a reaction rate of:
On the other hand, E2 reactions, like SN2 reactions are 1-step reactions. And again, as with SN2 reactions, the rate limiting step is the ability of a nucleophile to attach to the alkane and displace the halide. Thus it is a second-order reaction that depends on the concentrations of both the nucleophile and haloalkane, with a reaction rate of:
- (where Nu: is the attacking nucleophile)
Zaitsev's Rule
Zaitsev's rule (sometimes spelled "Saytzeff") states that in an elimination reaction, when multiple products are possible, the most stable alkene is the major product. That is to say, the most highly substituted alkene (the alkene with the most non-hydrogen substituents) is the major product.
Both E1 and E2 reactions produce a mixture of products, when possible, but generally follow Zaitsev's rule. We'll see below why E1 reactions follow Zaitsev's rule more reliably and tend to produce a purer product.
-2-bromo-3-methylbutane_small.png)
The above image represents two possible pathways for the dehydrohalogenation of (S)-2-bromo-3-methylbutane. The two potential products are 2-methylbut-2-ene and 3-methylbut-1-ene. The images on the right are simplified drawings of the molecular product shown in the images in the center.
As you can see on the left, the bromine is on the second carbon and in an E1 or E2 reaction, the hydrogen could be removed from either the 1st or the 3rd carbon. Zaitsev's rule says that the hydrogen will be removed predominantly from the 3rd carbon. In reality, there will be a mixture, but most of the product will be 2-methylbut-2-ene by the E1 mechanism. By the E2 reaction, as we'll see later, this might not necessarily be the case.
E2
Reactivity Due to Structure of E2RCH2X > R2CHX >> R3CX |
The E2 mechanism is concerted and highly stereospecific, because it can occur only when the H and the leaving group X are in an anti-coplanar position. That is, in a Newman projection, the H and X must be 180°, or in the anti-configuration. This behaviour stems from the best overlap of the 2p orbitals of the adjacent carbons when the pi bond has to be formed. If the H and the leaving group cannot be brought into this position due to the structure of the molecule, the E2 mechanism will not take place.

Therefore, only molecules having accessible H-X anti-coplanar conformations can react via this route. Furthermore, the E2 mechanism will operate contrary to Zaitsev's rule if the only anti-coplanar hydrogen from the leaving group results in the least stable alkene. A good example of how this can happen is by looking at how cyclohexane and cyclohexene derivatives might operate in E2 conditions.

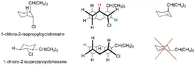
Let's look at the example above. The reactant we're using is 1-chloro-2-isopropylcyclohexane. The drawing at the top left is one conformation and the drawing below is after a ring flip. In the center are Newman projections of both conformations and the drawings on the right, the products.
If we assume we're treating the 1-chloro-2-isopropylcyclohexane with a strong base, for example CH3CH2O- (ethanolate), the mechanism that dominates is E2. There are 3 hydrogens off of the carbons adjacent to our chlorinated carbon. The red and the green ones are two of them. The third would be hard to show but is attached to the same carbon as the red hydrogen, angled a little down from the plane and towards the viewer. The red hydrogen is the only hydrogen that's 180° from the chlorine atom, so it's the only one eligible for the E2 mechanism. Because of this, the product is going to be only 3-isopropylcylcohex-1-ene. Notice how this is contrary to Zaitsev's rule which says the most substituted alkene is preferred. By his rule, 1-isopropylcyclohexene should be our primary product, as that would leave the most substituted alkene. However it simply can't be produced because of the steric hindrance.
The images below shows the molecule after a ring flip. In this conformation, no product is possible. As you can see from the Newman projection, there are no hydrogens 180° from the chlorine atom.
So it's important, when considering the E2 mechanism, to understand the geometry of the molecule. Sometimes the geometry can be used to your advantage to preferentially get a single product. Other times it will prevent you from getting the product you want, and you'll need to consider a different mechanism to get your product.
Note: Often the word periplanar is used instead of coplanar. Coplanar implies precisely 180 degree separation and "peri-", from Greek for "near", implies near 180 degrees. Periplanar may actually be more accurate. In the case of the 1-chloro-3-isopropylcyclohexane example, because of molecular forces, the chlorine atom is actually slightly less than 180 degrees from both the hydrogen and the isopropyl group, so in this case, periplanar might be a more correct term.
E1

The E1 mechanism begins with the dissociation of the leaving group from an alkyl, producing a carbocation on the alkyl group and a leaving anion. This is the same way the SN1 reaction begins, so the same thing that helps initiate that step in SN1 reactions, help initiate the step in E1 reactions. More specifically, secondary and tertiary carbocations are preferred because they're more stable than primary carbocations. The choice of solvent is the same as SN1 as well; a polar protic solvent is preferred because the polar aspect stabilizes the carbocation and the protic aspect stabilizes the anion.
What makes the difference between whether the reaction takes the SN1 or E1 pathway then, must depend on the second step; the action of the nucleophile. In SN1 reactions, a strong nucleophile that's a weak base is preferred. The nucleophile will then attack and bond to the carbocation. In E1 reactions, a strong nucleophile is still preferred. The difference is that a strong nucleophile that's also a strong base, causes the nucleophile to attack the hydrogen at the β-carbon instead of the α-carbocation. The nucleophile/base then extracts the hydrogen causing the bonding electrons to fall in and produce a pi bond with the carbocation.
Because the hydrogen and the leaving group are lost in two separate steps and the fact that it has no requirements as to geometry, the E1 mechanism more reliably produces products that follow Zaitsev's rule.
References
<< Haloalkanes |Alkenes| Alkynes >>



