Metabolomics/Applications/Nutrition/Animal Models

Back to Previous Chapter: Databases
Next chapter: Contributors
First Category: Disease Research
Go to: Animal Metabolomes
Go back to: Non-Nutrient Chemicals

Animal Models

Introduction to Animal Models

Animal models are an essential tool for researchers hoping to learn more about metabolic disease. In many cases, data cannot be collected from living patients with a metabolic disease, as this sometimes calls for organ dissection or other highly invasive procedures. Model animals can be engineered to express the disease phenotype and can be euthanized in order to collect data. This is the case especially in the following two articles about Lesch-Nyhan and Gaucher’s disease model mice.
In the following article about a mouse model for Lesch-Nyhan disease, a serious and sometimes deadly neurogenetic disorder, the mouse model is deficient in one particular enzyme that affects purine metabolism in the brain. In order to collect data, researchers removed, dissected, and purified brain tissue in order to isolate the purified enzyme and to quantify purine content.
In the following article about a mouse model for Gaucher’s disease, researchers engineered two different mouse models. The mice were deficient in an enzyme that breaks down a harmful product in the brain. The first model expressed this deficiency in all brain tissue, and the second had normal expression in the microglia, one particular brain tissue, in order to determine what role that tissue played in the pathology of the disease. Researchers again had to remove the brains of the mice for study.
In third article presented here, about a mouse model for phenylketonuria, researchers created model mice in order to study the effects of phenylalanine in the diet. Although this is not as drastic as removal of the brain, it is still impossible to use human subjects to do a study of this variety.
The web site overview about metabolic syndrome has a similar theme. This web site discusses the use of animal models of metabolic syndrome. Researchers can devise many different diets consisting of different foods and ingredients in order to determine different dietary causes of metabolic syndrome.
Another reason animal models of metabolic disease are needed is for preliminary testing of therapies. The first and third web site overviews discuss the usefulness of animal models in this case.
In the first web site overview discusses using model animals to research the tissue-specific effects of pharmaceuticals. Using animal models, researchers can identify which tissues might be damaged or aided by the use of a drug. Animal trials with a drug are an important precursor to human clinical trials.
The third website overview on this page discusses the time and cost benefits of using animal models. Many times metabolic disease drug discovery takes a backwards step when it becomes apparent that in vitro results do not carry over to human trials. Use of animal models in early stages of drug discovery and development can prevent a waste of time, effort, and money.

Journal Articles

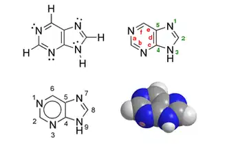
Brain Purines in a Mouse model for Lesch-Nyhan Disease

http://www3.interscience.wiley.com/cgi-bin/fulltext/119294037/PDFSTART
Jinnah H. A. et al. Brain purines in a genetic mouse model of Lesch-Nyhan disease. J. Neurochem. 60, 2036-2045 (1993).

Main Focus

Researchers have created a mouse model for the neurogenetic disease Lysch-Nhyan syndrome. The mouse model is deficient in the enzyme hypoxanthine-guanine phosphoribosyltransferase (HPRT). Researchers are studying the purine concentration and metabolism in the brains of these HPRT deficient mice.

New Terms

Purine
a heterocyclic aromatic organic compound, consisting of a pyrimidine ring fused to an imidazole ring. Purines are the most widely distributed kind of nitrogen-containing heterocycle in nature.
Hypoxanthine
a naturally occurring purine derivative occasionally found as a constituent of nucleic acids where it is present in the anticodon of tRNA in the form of its nucleoside inosine. Also called 6-Hydroxypurine.
Guanine
one of the five main nucleobases found in the nucleic acids DNA and RNA.
Neruogenetic
the role of genetics in the development of the nervous system.
Deletion mutation
a genetic mutation in which a part of a chromosome or a sequence of DNA is missing.
Antiserum
blood serum containing polyclonal antibodies.
Dopamine
a neurotransmitter occurring in a wide variety of animals, including both vertebrates and invertebrates.

Summary

Lesch-Nyhan Disease is a human neurogenetic disorder that causes a number of neurobehavioral abnormalities including involuntary or abnormal movement, aggression, and self-injury. The disorder is caused by a deficiency in the enzyme hypoxanthine-guanine phosphoribosyltransferase (HPRT) which functions in the metabolism of central nervous-system purines. HPRT recycles free purines so that cells do not have to constantly manufacture a new supply.
Purine Structure
In order to better understand how a lack of HPRT enzyme affects purine levels in the brain, researchers in this study use a mouse model with a deletion mutation in the HPRT gene. The mouse model has been shown to produce undetectable levels of HPRT enzyme or mRNA transcript. Although the model mice are missing functional HPRT enzyme, they do not present with the observable neurobehavioral abnormalities of human Lesch-Nyhan patients. However, the mice still provide a reliable model for studying purine salvage in HPRT deficient brains.
Researchers performed a number of different experiments to isolate HPRT protein from model and control mice and to assay their brains for purine content. The brains of HPRT positive mice were removed and homogenized then subjected to a series of treatments to isolate pure HPRT. The purified HPRT preparation yielded a single major band of approximately 24 kDa on an SDS-PAGE gel. The purified HPRT was used to test a polyclonal rabbit anti-HPRT antiserum by Western analysis. The anti-HPRT antiserum successfully labeled the same 24 kDA band, showing that it effectively binds to the mouse HPRT protein. Using the same purification technique on the brains of HPRT negative mice, the resulting Western analysis showed no binding with the anti-HPRT antiserum, confirming that the mouse model does not in fact produce the HPRT enzyme. HPRT levels in crude protein extracts from HPRT negative mice were also below detectable limits.
HPRT Metabolism
Upon confirming that the Lesch-Nyhan model mice were indeed deficient in HPRT enzyme, researchers examined the brain purine content of these HPRT negative mice compared to HPRT positive controls. First, the purine levels of eight different brain regions in HPRT positive control mice were deduced, revealing a definite variation in purine concentration in different parts of the mouse brain. Next, researchers looked at purine levels in whole brain tissue of the HPRT positive and negative mice. They found no statistically significant difference in the concentration of several different purines between the control and model mice. Purine levels in different brain regions were then compared between the HPRT positive and negative mice. Again, the different regions of the brain all showed nearly identical purine concentration between control and model mice.
The researchers concluded from these findings that purine salvage may not be necessary for maintaining purine levels in the mouse brain. Without HPRT, mouse brains may compensate by increasing production of purines. HPRT negative mice do have markedly different purine metabolism from control mice, however. When radiolabels were incorporated into mouse brain purines, the HPRT positive mice showed a significantly lower amount of labeled purines after two hours than the HPRT negative mice. This indicates that purine synthesis in mice lacking the HPRT enzyme is greatly accelerated.
In addition to differences in purine metabolism, the HPRT negative mice also have drastically reduced levels of dopamine. Dopamine depletion is also a symptom of Lesch-Nyhan disease in humans, although in humans the depletion is much more severe. For further studies in the HPRT negative mouse model, researchers suggest that the use of drugs that affect the rate of purine synthesis might be useful for understanding the neuropathogenesis of Lesch-Nyhan disease.


Murine models of acute neuronopathic Gaucher disease

http://www.pubmedcentral.nih.gov/articlerender.fcgi?artid=2077282&tool=pmcentrez
Murine models of acute neuronopathic Gaucher disease. Ida Berglin Enquist, Christophe Lo Bianco, Andreas Ooka, Eva Nilsson, Jan-Eric Månsson, Mats Ehinger, Johan Richter, Roscoe O. Brady, Deniz Kirik, and Stefan Karlsson. Proc Natl Acad Sci U S A. 2007 October 30; 104(44): 17483–17488.

Main Focus

Gaucher’s disease is the most common type of lysosomal storage disorder known. It causes a number of symptoms in the body and in severe forms cripples the nervous system. Researchers in this study have constructed two different mouse models for Gaucher’s disease.

New Terms

Lysosome
a cellular organelle that contains digestive enzymes
Glucosylceramide
A glycolipid containing a fatty acid, glucose, and sphingosine. Also called glucocerebroside. (http://www.answers.com/topic/glucosylceramide)
Glucocylceramidase
enzyme that hydrolyzes glucosylceramide. (http://en.wikipedia.org/wiki/Glucosylceramidase)
Neuronopathy (neuronopathic)
dysfunction due to damage to neurons of the peripheral nervous system (PNS), resulting in a peripheral neuropathy. (http://en.wikipedia.org/wiki/Neuronopathy)
Microglia
a type of glial cell that acts as the first and main form of active immune defense in the central nervous system. (http://en.wikipedia.org/wiki/Microglia).

Summary

Lysosome of a cell, illulstrated by #12
Gaucher disease (GD) is metabolic disorder that causes lysosomal storage of glucosylceramide (Glccer). Glccer builds up in certain cells of the body due to a deficiency in glucosylceramidase (GCase) activity. Storage of Glccer leads to a number of ill effects, including enlargement of the liver and spleen, reduced red blood cell count, and bone disease. In more severe cases, GD can also have neuronopathic effects including neuron death, abnormal increase in astrocytes, and increased levels of Glccer in the central nervous system (CNS) tissues. GD patients are classified into three groups. Type 1 GD is the least severe and does not include CNS effects. Types 2 and 3 usually result in death by 2 years of age. Symptoms of the more severe types of GD range from tense neck muscles to seizures.
Although viable models for type 1 GD existed prior to this research, previous attempts to create mouse models for neronopathic GD failed due to a condition where the mice lose water through their skin. Researchers in this study have created two viable mouse models of neuronopathic GD that have potential to lead to therapies for the disorder.
The first model, referred to as K14-lnl/lnl, resulted from engineering a mouse with a mutation in their gba gene (which leads to production of GCase) then breeding those mice to a transgenic line that prevented offspring from dying due to the skin condition described previously. This model displayed similar symptoms to GD patients, including abnormal Glccer levels in the brain, spleen, and liver, and the presence of visceral Gaucher cells. These mice remain free of symptoms for approximately ten days, then rapidly develop motor dysfunction and seizures, then after 3-4 more days, end-stage paralysis. Microscopic analysis of their brains reveals loss of neurons and enlarged vacuoles due to lipid accumulation.
The second model mice were created to have normal GCase activity in their microglia, and were referred to as Nestin-flox/flox. Onset of neuronopathic symptoms took two to three weeks in Nestin-flox/flox mice compared to the ten days for K14-lnl/lnl mice, and the overall progression to end stage took seven to ten days. These results suggest that GCase deficiency within microglia may influence the onset of disease, but are not the primary contributor to neurodegeneration.
These models have possible future implications for developing therapies for GD patients. Results show that restoring GCase activity in the microglia through bone marrow transplantation could slow disease progression. Gene therapy to overexpress GCase within progenitor cells of microglia may also be a viable option.


Mouse Models of Human Phenylketonuria

http://www.genetics.org/cgi/reprint/134/4/1205


Main Focus

Main focus paragraph

New Terms

Cross-Reactive Proteins
A protein shown to be part of the system in question, normally can help deal with regulation of the target enzyme or system.
Phenylalanine hydroxylase
Converts phenylalanine to tyrosine.
Western blot analysis
SDS-Page gel followed by transfer to a nitrocellulose membrane for staining by an antibody designed for detection of a specific protein. (http://en.wikipedia.org/wiki/Western_blot)
Ethylnitrosourea
Highly potent mutagen given to mice which causes 1 mutation for every 700 gamets. (http://en.wikipedia.org/wiki/Ethylnitrosourea)
Polyclonal antibody
Antibodies derived from different B cell lines creating many epitopes for the same antigen. (http://en.wikipedia.org/wiki/Polyclonal_antibody)


Summary

Prior to this study PKU models were attempted by administering phenylalanine analogs that would inhibit phenylalanine hydroxylase activity. However, side effects inherent in the inhibitors used made reading such experiments extremely difficult. This determined that an animal model with a genetic infliction was needed in order to proper the study the first discovered inborn error in metabolism.
Three mutations specific for deficiency in phenylalanine hydroxylase activity and cross-reactive proteins were created using lab mice. Two of which had a reduced phenylalanine hydroxylase mRNA and display characteristics of untreated human PKU. All three were given diets deficient in phenylalanine which partially reversed abnormalities. Researches used protein assays, mRNA assays and western blot analysis to determine which bred mice contained the desired traits.
The creation of these mice made it possible to study the actual mechanism behind PKU and with it the effects of phenylalanine deficient diets. More specifically, it created models to study the effect on offspring if the mother had been taken off the diet. Also, this made it possible to study somatic cell gene therapy.

Diet Composition and Insulin Action in Animal Models

http://journals.cambridge.org/action/displayAbstract?fromPage=online&aid=883788
Diet Composition and Insulin Action in Animal Models. Storlien, Len H. et al. British Journal of Nutrition (2000) 83, Suppl. 1, S85-S90

Main Focus

Animal models have proven useful for studying the effects of nutrition on insulin action and insulin resistance. Strictly controlled dietary interventions not possible in human subjects may be utilized, allowing for controlled study of particular macronutrients, with particular attention to subclasses of these nutrients.

New Terms

Macronutrient
Nutrients required in relatively large quantities. They include the classes of chemical compounds humans consume in the greatest quantities and provide bulk energy: carbohydrates, fats, and proteins. (http://en.wikipedia.org/wiki/Macronutrient)
Insulin Resistance
The condition in which normal amounts of insulin secreted in response to a meal are inadequate to produce a normal insulin response in fat, muscle, and liver cells. (http://en.wikipedia.org/wiki/Insulin_resistance)
n-3 PUFA (Omega-3 polyunsaturated fatty acid)
A family of unsaturated fatty acids that have in common a final carbon–carbon double bond in the n−3 position (the third bond from the methyl end of the fatty acid). (http://en.wikipedia.org/wiki/Omega-3_fatty_acid)
n-6 PUFA (Omega-6 polyunsaturated fatty acid)
A family of unsaturated fatty acids that have in common a final carbon–carbon double bond in the n−6 position (the sixth bond from the methyl end of the fatty acid). (http://en.wikipedia.org/wiki/Omega-6_fatty_acid)
Beta adrenoceptor (adronergic receptor)
A class of receptors that are targets of the catecholamines adrenaline (epinephrine) and noradrenaline (norepinephrine), which generally cause a sympathetic response (ie the fight-or-flight response). (http://en.wikipedia.org/wiki/Beta_adrenergic_receptor#.CE.B2-Adrenergic_receptors)
Leptin
A protein hormone that plays a key role in regulating energy intake and energy expenditure, including appetite and metabolism. (http://en.wikipedia.org/wiki/Leptin)
Hyperinsulinaemic-Euglycaemic Clamp
The ‘gold standard’ for measuring insulin resistance, it measures the amount of glucose required to compensate for an increased insulin level without causing hypoglycemia. (http://en.wikipedia.org/wiki/Hyperinsulinaemic_Euglycaemic_Clamp#Hyperinsulinaemic_euglycaemic_clamp)
Deoxyglucose (2-Deoxy-D-glucose)
A glucose molecule in which the 2-hydroxyl group has been replaced by hydrogen and is thereby incapable of further glycolysis, useful as a marker for tissue glucose use and hexokinase activity. (http://en.wikipedia.org/wiki/Deoxyglucose)
Eicosanoid
Signaling molecules made by oxygenation of twenty-carbon n-3 or n-6 essential fatty acids, they exert complex control over many bodily systems, mainly in inflammation or immunity, and act as messengers in the central nervous system. (http://en.wikipedia.org/wiki/Eicosanoid)
Glycemic index
A measure of the effects of carbohydrates on blood glucose levels. A lower glycemic index indicates slower absorption and digestion of a food’s carbohydrates, which may improve insulin action and control of blood glucose levels. (http://en.wikipedia.org/wiki/Glycemic_index)

Summary

Insulin resistance plays a major role in the development of a group of diseases related to the metabolic syndrome, with non-insulin-dependent diabetes mellitus type 2 being the disease most directly linked to insulin resistance. Insulin resistance characterizes an inability to metabolize carbohydrates normally, and often leads to dietary substitutions of other macronutrients as carbohydrates are avoided. But since protein levels are not easily manipulated, low-carbohydrate diets often come at the expense of increasing dietary fats. Increasing fat intake has been likewise linked to obesity, another hallmark of metabolic syndrome diseases. Studies using animal models may lend some insight into how dietary intake of macronutrients, and particularly specific subclasses of these nutrients, may affect insulin action and overall metabolism in humans.
Insulin response to meals in human metabolism
A review of the growing literature on animal models concerning dietary fat subtypes reveals evidence for both direct and indirect (through induction of obesity) effects on insulin action and development of insulin resistance. Multiple studies have shown definitive links between saturated fat intake and the development of obesity, but have also shown that polyunsaturated fatty acids (PUFAs) have a neutral or perhaps protective role against obesity. Further studies have shown that PUFAs are more readily available for energy production when initially ingested and more readily mobilized from adipose tissue than saturated fats. Saturated fats incorporated into cell membranes have demonstrated a propensity to reduce the rate of cellular metabolism and inhibit receptor (e.g. adrenoceptor) binding, whereas n-6 PUFAs have been shown to increase beta adrenoceptor affinity.
Saturated fats act through gene regulation to upregulate enzymes active in lipid synthesis and formation of adipocytes, while PUFAs result in down-regulation. In mice fed high saturated fat diets, increased neuron stimulation was found in the dorsal-lateral hypothalamus (“feeding center”), and decreased stimulation of the ventromedial hypothalamus (“satiety center”). By contrast, mice fed diets high in PUFAs had neuronal stimulation of only the satiety center, and accumulated less fat than even mice fed low-fat diets. Another study found that diets high in PUFAs resulted in increased circulating leptin levels, independent of adiposity, and may account for the ability of PUFAs to protect against obesity.
As well as preventing obesity, there is evidence that fatty acids have a more direct role in modulating insulin action, whereby an increase in saturation signals a decrease in both insulin binding and action. In one study combining the hyperglycemic-euglycemic clamp, labeled glucose, and deoxyglucose to observe insulin action in various tissues following specific feeding regimens, major insulin resistance was evident in rats fed high saturated and monounsaturated fat diets, and normal insulin resistance in rats fed diets high in n-3 PUFAs. Attempts to show a link between saturation level of membrane lipids and development of insulin resistance have been inconclusive in many rodent models and human populations. Saturated fats also lead to hypersecretion of insulin from the pancreas, which may be a pathway to insulin resistance through the effect of hyperinsulinemia. Muscle storage triglycerides (TG) have also been implicated in impairment of insulin action. Rodent models have shown that physically active rats have a higher level of TG, but lipid droplets are tightly coupled to mitochondria, and there is no impairment of insulin action under these circumstances.
Carbohydrate subtypes have also been found to influence insulin action. Rat studies have shown that diets in which starches are substituted by either sucrose or fructose produce a negative effect on insulin action, which is not mirrored by substituting glucose, suggesting that it is not the rate of absorption that alters insulin action, but probably the increase in blood triglyceride levels with an increase in fructose consumption. The glycemic index of foods has not been shown to have a direct effect on insulin action, but there is evidence that slowly-digested complex carbohydrates are more beneficial to insulin action. Rats fed high amylopectin (branched, rapidly absorbed starch) diets were shown to be hyperinsulinemic compared to rats fed high amylose (straight-chain, slowly digested starch) diets, and amylose was found to increase glucose oxidation, decrease lipid synthesis, and increase glycogen synthesis.
Data on protein subtypes is scarce, but one study showed that high-fat diets prepared using cod protein do not produce insulin resistance as do high-fat diets employing soy or casein proteins. This was further shown to be a result of improvement in mobilization of the insulin-stimulated glucose transporter GLUT4. Another study observed that addition of L-glutamine to high-fat diets resulted in better glycemic and insulinemic control in mice.

Course Relevance

This article demonstrates how animal models and particularly rodent models have been useful for studying the effect of nutrients on disease states due to the ability to strictly control the diet of these animals.

Genomics: The Year of the Rat

http://www.pubmedcentral.nih.gov/articlerender.fcgi?artid=1247663&tool=pmcentrez

Main Focus

A summary of the effects that the addition of the rat and other mammalian organisms will have on various research efforts.

General Overview

The Brown Norway rat (Rattus norvegicus) genome was the third mammalian genome to be fully sequenced. Because the rat model is able to mimic a large number of human diseases, having the genome will allow a better understanding of the underlying biology and processes of human diseases. In addition, having the genome allows a better understanding of the affects toxic substances have at the genomic level, since the genes that DNA micro-arrays point to as having been changed by the substance can now be identified.
The Brown Norway rat genome may hold the key to some human genetic diseases
Having the rat sequence will also help understand other complex diseases like human breast cancer. Understanding the links in gene-environment interactions is important for these diseases, and the genome can help researchers map to the rat model and find the genes responsible for causing them. The sequence adds promise to the field of comparative genomics, where the structure and essential functional components of the human genome are found by comparison to other organism’s genomes.
The importance of the sequence also extends to the rat itself, since the information acquired from the sequence (as well as the other organisms and respective sequences that the National Human Genome Research Institute also intends to model) can be used to assess chemical risk in an ecological sense. This information can help predict the effects that human chemicals from fertilizers to household cleaners will have on the organisms, preventing ecological disasters before they even have a chance of happening.
Having the sequence allows database development such as that being done at the NIEHS-based National Center for Toxicogenomics to expand their options. The center will be able to blend its current methods, which primarily focuses on microarrays and proteomics, with metabolomics now that they have entire genomes to work with.

New Terms

Toxicogenomics
The study of the toxic effects of substances on genetic material, with an attempt to use this information to predict its toxic effect on organisms ( http://en.wiktionary.org/wiki/toxicogenomics )
Model Organism
Any organism (e.g. the fruit fly) that has been extensively studied as an example of many others, and from which general principles may be established ( http://en.wiktionary.org/wiki/model_organism )
Comparative Genomics
The study of the relationship of genome structure and function across different biological species or strains ( http://en.wikipedia.org/wiki/Comparative_genomics )
Biomedical
relating to the activities and applications of science to clinical medicine ( http://wordnet.princeton.edu/perl/webwn )
Toxicant
A toxic or poisonous substance; Capable of causing damage by poisoning ( http://en.wiktionary.org/wiki/toxicant )


Course Relevance

The article shows how the knowledge of an entire genome sequence adds the field of metabolomics to existing methods of gathering and comparing relevant medical and environmental information.


Website Sources

Metabolomics Strategy: Identifying Tissue-Specific Drug Effects

http://www.pharmafocusasia.com/clinical_trials/metabolomics_drug_effects.htm

Main Focus

Metabolomics technology is increasing at a rapid rate. These advances are likely to be applicable to the long-desired goal of "personalized medicine." With the use of biomarkers in animal models for preliminary testing, pharmaceuticals will be more effectively prepared for clinical trials and eventual common use.

New Terms

Metabolomics
The “global study of small molecules,” called metabolites (various end products of reactions within the cell), in regards to the cell, the tissue, and the organism as a whole. (defined within web site)
Biomarkers
a substance used as an indicator of a biologic state. (http://en.wikipedia.org/wiki/Biomarker )
Metabolome
The complete set of small-molecule metabolites in a biological sample (http://en.wikipedia.org/wiki/Metabolome)
Pharmacometabolomics
A field of personalized medicine that considers how each individual will metabolize a drug, based on genomic and environmental factors. (http://www.geneticsandhealth.com/2006/05/08/personalizing-medicine-using-pharmaco-metabonomics/)
Translational pharmaceutical research
Pharmaceutical research which applies the clinical, laboratory, and population discoveries into the creation and betterment of pharmaceuticals. (http://www.cancer.gov/trwg/TRWG-definition-and-TR-continuum)

Summary

The current clinical practice is to test a very small range of factors, such as glucose or cholesterol levels to monitor and diagnose health issues. New advances in metabolomics and informatics hope to allow a more complete look at the metabolome, to further advance our ability to diagnose, monitor, and treat various diseases, as well as in research of those diseases.
An obvious ideal choice for the most effective treatment of diseases is personalized medicine, meaning that medications, regimens, etc. are all chosen and modified to exactly match each individual patient, rather than a generic dosage. This personalization, however, is not possible until we can understand the genomic and environmental interactions within the body. In an effort to become closer to this personalized goal, a new technique involves the identification of specific “biomarkers” and their related pathways. Some biomarkers may be tissue-specific, for example, pertain to muscles only, which can be of great use in the development of pharmaceuticals directed at various muscle functions. They can also be used to, hopefully, prevent adverse drug reactions by testing, for example, liver-specific biomarkers, whose use could prevent the creation of a drug that destroys the liver.
Metabolites are often quite similar between various species, providing and avenue of research not directly on humans. For example, lipid molecular levels were quite similar between the diabetic animal model and human subjects. This indicates the likely use of various animal models of diseases for biomarker identification and testing in pharmaceutical and personalized medicine settings, diminishing the risk of adverse affects of individuals as well as direct human testing. Should a drug be tested on an animal for biomarkers first, it not only identifies what are likely the most important things to look at, but also allows clinical-like trials to be performed, to identify any problematic parts of the drug before it goes to real clinical trial.
However, diseases such as psychiatric disorders and cancer are difficult to apply metabolomics to. In such cases, drugs would need to be created first, then later tested (top-down development process). The clinical studies would be conducted primarily to obtain more information about specific stages of the diseases, and metabolomics would be applied after to identify subtypes and stages of disease.
The primary advantage of metabolomics in medical research is the very specific nature of the testing, allowing for specific biomarkers to be identified and later observed as relevant to the disease or drug studied. The use of animal models specifically, provides a much safer environment for drug testing, due to the fact that no (or very few) humans would be put in harms way for the testing.


Diet-Induced Metabolic Syndrome in Rodent Models

http://www.researchdiets.com/pdf/Diet-Induced%20Metabolic%20Syndrome.pdf

Main Focus

Much of America is overweight if not obese, which can lead to the development of the metabolic syndrome (MS). In conjunction with using purified diets (with ingredients freely available to all researchers), animal models for the metabolic syndrome and the diseases it can lead to are helping shed light on various foods and chemicals that can cause it. Research in this area hopes to develop a solution and prevention of both the metabolic syndrome and its associated problems.

New Terms

Metabolic Syndrome (MS)
Term used to describe the simultaneous occurrence of these diseases (defined within web site)
Nutriphenomics
The concept that nutrients can change our biology or phenotype; brings together physiology, endocrinology, molecular biology, etc. (defined within web site)
Three types of diet
LFD (low-fat diet, ~10% calories from fat), HFD (high-fat diet, ~30-50% calories from fat), & VHFD (very high fat diet, generally <50% kcal fat) (defined within web site)
Nutraceutical
Refers to extracts of foods claimed to have medicinal effect on human health. (http://en.wikipedia.org/wiki/Nutraceutical)
Transgenic mice
A type of genetically modified mouse strain that have DNA inserted into their genome that originated from a different species. (http://en.wikipedia.org/wiki/Genetically_modified_organism)

Summary

Obesity is becoming an epidemic in our world today; it can contribute to other medical conditions, for example, hypertension. Those who are overweight or obese are often at risk as well for the metabolic syndrome (MS), meaning that they are more likely to develop complicating conditions such as type 2 diabetes. The development of obesity and the MS appears to be due to both genetics as well as the environment; since the human genome has changed very little in hundreds of years, obesity is most commonly caused by our environment, by our food consumption. Humans were thought to once have critical “survival genes,” allowing us to intake a great quantity of food and be able to store it as a security measure against possible lean times in the future. These genes are no longer useful to us today, yet they remain in the genome, making fat/weight addition and deposition much easier than previously, due to the high quantity of food we eat daily.
Death Risk and Body-Mass Index
The research community hopes to develop animal models for obesity and the MS, due to the growing number of those that are obese and have the MS. These animal models would contribute to animal testing, rather than direct human testing. Animal models in this case, are induced to develop the disease based on the diet they are fed. Typically, the feed is created from an “open-source” purified ingredients diet, which makes it possible for other researchers to exactly copy the animal model used so that all results are valid and usable (purified ingredient diets are also quite simple to reproduce exactly, making the overall results less variable); they are also easily-modified diets.
Rats and mice are quite commonly-used animal models for nearly any type of animal testing that has hopes of clinical trials or diagnostic/therapy possibilities later on. They provide an excellent parallel to human physiology, allowing researchers to find solutions for the obesity epidemic while not directly testing any drugs on humans. Guinea pigs are also commonly used to provide human-like models for lipid research, because their cholesterol profile begins at a similar level to that of humans. Rats are historically preferred for diet-induced hypertension models due to its small size, large amounts of available physiological data, and “robust blood pressure response.” With all this variability, however, the future goal is to create one rodent strain that can be used for every area of metabolic syndrome research, allowing for more widely usable and comparable results.

Understanding Aging

There are many different processes that contribute to aging. One approach to study aging is to recognize the various interacting physiological systems and their functions. Aging occurs when these functions start to become incompetent as a result of degradation. This causes a series of damages in the organism, which eventually lead to death. One popular adaptation is the Metabolic Control Analysis (MCA), which is an attempt to select which modifications are crucial to aging.

The lack of repair of damaged tissues and cells plays a role in loss of function and death. Different parameters are used to measure functions. For example, studies focus on kidney filtration, muscle strength, neuron activity, and B-Cell insulin secretion to determine the degree of aging. Some organisms have the capacity to resist and repair damage more effectively than others, leading to a higher life span. However, even in a controlled environment where most typical anti aging resources (such as low stress, abundant sources of food, infection prevention) are available, aging still occurs and leads to death. What can evidently affect life span, according to experiments carried out on some yeast and fruit flies, is how the genome is expressed and if there is genetic mutation in a single gene.

Evolution, which is change in the allele frequency of a population over an extended period of time, plays an important role in describing the aging process. Natural selection might have affected aging as it maximized the tissue maintenance to increase reproductive success for organisms, leading to similar rates of decline of different physiological functions. Independent factors, such as individual exposure to sun or adapting unhealthy lifestyles, can alter this expected rate but overall it can be easily predicted for most evolving organisms.


Functional declines attribute to changes that occur in the functional pathways and number of cells present in the body. Cells can both increase or decrease as aging progresses, but studies are yet to determine what the estimated number of cells is before functions are impaired or disrupted. Most likely the cell number is going to decrease since cells are working hard to repair themselves due to cellular damage as a result of dysfunction. Therefore, there might be a close relationship between function and number of cells.

The Metabolic Cell History is another parameter for measuring the decline in function. It basically represents the difference between the earliest state of cell and subsequent state as changes take place. Factors such as genome and developmental history that affect cellular changes can alter gene expression, signaling pathways, and result in DNA modification. Oxidative damage can also affect the activity of enzymes and organelles thus leading to aging.

Dietary Restriction MAY Increase Your Life Span

More than seventy years have been dedicated to determine the impacts of dietary restriction on different signaling pathways, which have inspired promises of prolonging life. The research on different species such as yeast, monkeys, and rodents, which were subject to undernutritious diets, did not yet prove an increase in life span. However, there is evidence that biomarkers of age are delayed. Furthermore, in a research done on rodents, dietary restriction has proved to reduce the severity of many diseases such as cancer, osteoporosis, cardiovascular, and autoimmune diseases.

Evolution offers an explanation how life span is increased with dietary restriction. The most accepted hypothesis is that this mechanism evolved during famine. When food resources were scarce, some species developed new mechanisms to adapt. The dietary restriction also introduced a fitness advantage in these species.

A bell curve is used to display the effect of dietary restriction on life span. An optimal life span is obtained once the food amount is reduced from high intake to dietary restriction intake, then a drastic decrease is witnessed if starvation prevails. At high food intake, there is also a lower median span, but reproductive output is much higher. On the other hand, reproductive output is reduced in the dietary restriction region, but rather prolonged.

It is important to note that aging occurs due to damage in the DNA by free radicals. Dietary restriction plays a counteract role by decreasing the reactive oxygen species and optimizing damage repair. Certain proteins such as AMPK and TOR have been shown to be involved in the physiological pathways of dietary restriction as they respond to different nutrient levels. An increase in AMPK production and a decrease in TOR’s are evident physiological responses in dietary restriction.

Recent discoveries of transcription factors will further help develop understanding of the dietary restriction mechanisms. But the big questions are yet to be answered: Are these factors and pathways conserved between species and what is the genetic pathway for dietary restriction? Uncovering the genetic pathways can play a revolutionary role in developing pharmaceutical drugs that can alter the dietary restriction and cause the same longevity effects.


Summary Following a near starvation diet without malnutrition may prolong your life and reduce the risk of having cancer, diabetes, and cardiovascular diseases. Laboratory experiments on different organisms such as yeast, worm, fruit flies, and monkeys etc. have brought light to this hypothesis, but it is still under research as genetic pathways are yet to be discovered. Revealing the mechanical pathways which result from a dietary restriction can play a revolutionary role in creating pharmaceutical mimetic.

Reference http://www.annualreviews.org/doi/full/10.1146/annurev.biochem.77.061206.171059?url_ver=Z39.88-2003&rfr_id=ori:rid:crossref.org&rfr_dat=cr_pub%3dpubmed

Metabolomics Plays Crucial Discovery Role

http://www.genengnews.com/articles/chitem_print.aspx?aid=1354&chid=1

Main Focus

Main focus paragraph

New Terms

Microarray
Analysis of many samples through the use of a series of spots in which a tag is used specific for molecule in question. When bound the tag turns colors with an increase in intensity of the color as the amount of target molecule increases.1
R-Programming Language
Software environment for statistical computing and graphics analysis.
Bioinformatics
The integration of information technology into biology for analysis.
PPAR (peroxisome proliferator-activated receptor)
An orphan nuclear receptor that plays a key role in regulating triglycerides, blood glucose homeostasis and insulin resistance. (explain in the paper)
Biomarkers
A substance used as an indicator of a biologic state. It is a characteristic that is objectively measured and evaluated as an indicator of normal biologic processes, pathogenic processes, or pharmacologic responses to a therapeutic intervention. (http://en.wikipedia.org/wiki/Biomarker)
Tandem mass spectrometry
Involves multiple steps of mass spectrometry selection, with some form of fragmentation occurring in between the stages (http://goldbook.iupac.org/T06250.html)

Summary

Metabolome reflects current physiological status. This means that animal models showing identical symptoms to human diseases can be created showing the exact same biochemical patterns that allows companies to monitor disease states and assess drug actions on a large scale before human trial occur. Then “snap shots” of current physiological conditions can be taken to monitor disease progress.
A DNA Microarray
There are many new discoveries coming out of this type of research that was not originally thought of. New biomarkers are being discovered, as well as improved instrumentation and better bioinformatics for data analysis and sharing. Due to the large scale nature of these studies, a lot of information must be interpreted using programs such as R programming language for the interpretation of microarrays. With the large number of samples mass spectrometry and liquid or gas chromatography are being used to resolve the wide range of metabolites.
Essentially, the research community has been doing a lot of their research en vitro and the results seem promising ahead of time but once trials start they start to see side effects not originally thought of as early trials are used with simple, not complex systems. Using animal models with the correct physiological patterns as an effected individual allows the researchers to start by using animal models to test out their drugs at early stages of development. This reduces the cost as “going back to the drawing board” takes more money as people have to go back many months or years to figure out what part of the original molecule is causing the problems, causing more money to be spent on doing the same type of work again. Animal models in metabolomics allow the research teams to take into account everything in the body from the beginning, reducing the need to go back many steps in development. It is also helping to define complex phenotypes in the animals for use in research, instead of using the traditional simple phenotypes.

Metabolic Biomarkers: a Conference Review

http://www.healthtech.com/Conferences/2007/bmks/mbp.asp

Main Focus

A review of recent work involving metabolomics. Metabolomics approaches have been used for a wide range of applications, including discovery of novel biomarkers, diagnostics, and assessment of drug toxicity.

New Terms

Pharmacogenomics
The branch of pharmacology concerning the influence of genetic variation on patient drug response by mapping gene expression and single-nucleotide polymorphisms (SNPs). This information is then used to maximize the test drug's efficacy and minimize its toxicity and potential adverse effects in a patient, based on his or her genotype. (http://en.wikipedia.org/wiki/Pharmacogenomics)
Simvastatin
A drug of the “statin” group of pharmaceuticals used to control blood cholesterol levels and prevent cardiovascular disease. (http://en.wikipedia.org/wiki/Simvastatin)
Schizophrenia
A psychiatric diagnoses of a mental disorder characterized by abnormalities in the perception or expression of reality. It is not associated with multiple personality disorder, as it is most commonly confused with. (http://en.wikipedia.org/wiki/Schizophrenia)
NMR (Nuclear Magnetic Resonance) spectroscopy
A technique which employs the magnetic properties of certain atomic nuclei to provide information on the number and type of chemical entities in a molecule or mixture of analytes. (http://en.wikipedia.org/wiki/NMR_spectroscopy)
Sprague-Dawley rat
A multipurpose breed of albino rat used extensively in medical research and possessing specific anatomical features that can be exploited for certain experiments. (http://en.wikipedia.org/wiki/Sprague-Dawley%23Sprague_Dawley_rat)
Gentamicin
An aminoglycoside antibody used to treat many bacterial infections, especially those by Gram-negative bacteria. It is severely nephrotoxic, inhibiting protein synthesis in renal cells. (http://en.wikipedia.org/wiki/Gentamicin)
Cisplatin
A platinum-based chemotherapy drug used to treat various types of cancers. It has both nephrotoxic and neurotoxic properties. (http://en.wikipedia.org/wiki/Cisplatin)
Cyclosporine
An immunosupressant drug widely used following organ transplantation to reduce the activity of the recipient’s immune system and prevent organ rejection. It can produce a wide range of adverse drug reactions, including nephrotoxicity and hepatotoxicity. (http://en.wikipedia.org/wiki/Cyclosporine)

Summary

Metabolomics approaches can be used in a wide range of applications in biochemical and biomedical research. Some recent studies employing metabolomic analyses were presented at a 2007 conference hosted by the Cambridge Healthtech Institute. A summary of the topics discussed at that conference follows.
Several targeted and random metabolomic analytical platforms and informatics tools were used to define metabolic signatures of several central nervous system disorders and their response to drug intervention in work presented by Dr Rima Kaddurah-Daouk of Duke University Medical Center. Impairments in the biochemical pathways of neurotransmitter and lipid metabolism were revealed, and work is continuing to more accurately map these impairments. The group has also established the National Metabolomics Consortium for Drug Response Phenotype, designed to integrate metabolomics and pharmacogenomics data in order to more thoroughly define drug response phenotypes. Initial data from the analysis of the cardiovascular disease drug simvastatin were presented at the conference.
Dr. Stephen Furlong of AstraZeneca conducted a review of metabolic changes associated with schizophrenia that can be detected in urine, blood, and skin. He also presented human plasma and urine sample data comparing clinically normal individuals to patients treated with two different drug therapies.
Advanced techniques for enhancing the power of nuclear magnetic resonance (NMR) spectroscopy in metabolic profiling was the topic for discussion by Dr. Daniel Raftery of Purdue University. While 1D NMR and multivariate statistics have been used effectively to discriminate between healthy and diseased samples based on interpretation of hundreds of metabolites, high-concentration metabolites have been the primary focus. New approaches that focus on major and minor components will allow better discrimination between healthy and disease states. Combining NMR and mass spectrometry allows correlation of data which can help to identify changes in metabolic pathways due to disease or diet, and may be helpful in identifying future drug targets.
In a report presented by Dr. Vladimir Tolstikov of the University of California-Davis, metabolomics approaches were used conduct blind and targeted data mining and to find and validate biomarkers from biological fluids. It is an extension of an earlier study demonstrating the effectiveness of mass spectrometry in detecting renal cell carcinoma in urine. Urine is postulated as an ideal biofluid for metabolomic analysis, especially when used to detect diseases of the kidney and urinary system.
Metabolomic fingerprinting and data processing using mathematical, statistical and machine learning algorithms were used to study the progression of malignancy in breast epithelial cells. The data was presented by Dr. Vladimir Shulaev of the Virginia Bioinformatics Institute.
There were three presentations citing metabolomics approaches to identifying drug toxicity. The first, by Dr. Qiuwei Xu of Merck Research Laboratories, was a general discussion of using NMR-based metabolomics to understand the underlying mechanisms of drug toxicity during development of novel therapeutics.
A study to determine the differences in susceptibility to nephrotoxicity between pediatric and adult populations was reported by Dr. Laura K. Schnackenberg of the National Center for Toxicological Research at the Food and Drug Administration. Sprague-Dawley rats analogous in age to human infants, toddlers, young and mature adults were treated with gentamicin or cisplatin and observed for changes in nephrotoxicity biomarkers. The group concluded that metabolomic studies could be used to predict pediatric drug safety in pre-clinical and clinical studies of new drugs.
Metabolomic biomarkers were used to differentiate between pathologies occurring after kidney transplantation in a study presented by Dr. Natalie Serkova of the University of Colorado Health Sciences Center. Differences in the metabolome detected by high resolution NMR spectroscopy were used to distinguish between patients that demonstrated delayed graft function due to ischemia/reperfusion injury versus patients that demonstrated cyclosporine toxicity. Uric acid and a well known renal medulla injury marker TMAO were identified as markers for reperfusion injury, while increased lactate and decreased glutathione concentrations in the blood along with slightly elevated TMAO were signs of cyclosporine toxicity.

Course Relevance

This website containing an overview of a recent biomarkers conference highlighted some specific uses of metabolomics in research. One particular study employed an animal model to study toxicity of therapeutic drugs through metabolomic techniques.

Metabolomics and Specific Drug Effects

http://www.pharmafocusasia.com/clinical_trials/metabolomics_drug_effects.htm

Main Focus

The future applications of the metabolome, once more fully understood, include personalized drug treatment and pharmaceutical research.

General Overview

Personalized drug treatment would be a huge breakthrough in medicine as it would provide individuals with much better health care. The drug dosage could be predicted based on different factors of their personal metabolome, including effects from the environment, the genetics of the individual, age, and even as specific as their gut microbial composition. This would help to minimize side effects and maximize treatment efficiency by being able to predict what would happen and optimize drug application. Sometimes potentially harmful effects may be produced by a generalized drug treatment that may not show any immediate symptoms, and a better understanding of the metabolome would help predict and detect those effects. Studies have already been done of this kind, using information from the metabolome to detect and predict the effects of high dose simvastatin and atorvastatin on muscle tissue. The tissue specific metabolomic markers (biomarkers) found during this study can be applied toward investigating the drug response in a physiological setting.
A recent study compared the lipidomic profiles of Zucker Diabetic Fatty Rats with hypertriglyceridemic patients. This cross-species comparison has the potential to produce biomarkers that can be applied to both species, enabling more testing on the rats instead of relying on human patients.
Biomarkers can also be applied toward diseases such as cancer that have multiple stages. Different biomarkers can be obtained from the different stages and/or subtypes of the disease, which can then be used to determine exactly what stage a patient is in, so that they can optimize treatment.

New Terms

Biofluid
Any fluid excreted or otherwise obtained from the body ( http://www.medterms.com/script/main/art.asp?articlekey=38690 )
Pharmacometabolomics
The use of metabolomics technologies in all phases of the drug discovery and development process ( http://www.phenomenome.com/company/news/?a=39 )
Pathophysiology
The study of the disturbance of normal mechanical, physical, and biochemical functions, either caused by a disease, or resulting from a disease or abnormal syndrome, or condition that may not qualify to be called a disease ( http://en.wikipedia.org/wiki/Pathophysiology )
Hypertriglyceridemic
A form of hyperlipidemia in which there is an excess of triglycerides in the blood ( http://en.wiktionary.org/wiki/hypertriglyceridemia )
Biobank
Any of several types of repository of biological material (e.g. seeds) or information (e.g. DNA) ( http://en.wiktionary.org/wiki/biobank )

Course Relevance

The website explores the potential applications of a better understanding of metabolomics in relation to pharmocology and personalized drug treatment.

Articles for future review as Metabolism class assignments

Main Focus

Identify the main focus of the resource. Possible answers include specific organisms, database design, intergration of information, but there are many more possibilities as well.

Reviewer: Erin H

New Terms

New Term 1
Definition. (source: http://)
New Term 2
Definition. (source: http://)
New Term 3
Definition. (source: http://)
New Term 4
Definition. (source: http://)
New Term 5
Definition. (source: http://)
New Term 6
Definition. (source: http://)
New Term 7
Definition. (source: http://)
New Term 8
Definition. (source: http://)
New Term 9
Definition. (source: http://)
New Term 10
Definition. (source: http://)

Summary

Enter your article summary here. Please note that the punctuation is critical at the start (and sometimes at the end) of each entry. It should be 300-500 words. What are the main points of the article? What questions were they trying to answer? Did they find a clear answer? If so, what was it? If not, what did they find or what ideas are in tension in their findings?

Relevance to a Traditional Metabolism Course

Enter a 100-150 word description of how the material in this article connects to a traditional metabolism course. Does the article relate to particular pathways (e.g., glycolysis, the citric acid cycle, steroid synthesis, etc.) or to regulatory mechanisms, energetics, location, integration of pathways? Does it talk about new analytical approaches or ideas? Does the article show connections to the human genome project (or other genome projects)?


Main Focus

The focus of this article is to model Rett syndrome using null mice and determine the metabolic characteristics of the disease.

Reviewed by Robert Van B.

New Terms

Rett syndrome
X linked neurological disorder that almost exclusively affects the female population. It is caused by a mutation or deletion in the MECP2 gene. (source: http://en.wikipedia.org/wiki/Rett_syndrome)
Null mouse
An inbred mouse that has a knock our for a certain protein of enzyme. (source: An inbred mouse that has a knock our for a certain protein of enzyme.)
Choline phospholipids
phosphoolipiods that incorporate choline molecules into their structure. Important in the formation of biological membranes. (source: http://en.wikipedia.org/wiki/Choline)
Metabolomics
systematic study of the unique chemical fingerprints that specific cellular processes leave behind. (source: http://en.wikipedia.org/wiki/Metabolomics)
Osmoregulation
The metabolic regulation of water. (source: http://en.wikipedia.org/wiki/Metabolomics)
MRS
Magnetic resonance spectroscopy that uses Hydrogen to characterize and quantify the levels of choline containing compounds, myoinositol, and other metabolites. (source: http://en.wikipedia.org/wiki/Magnetic_resonance_spectroscopy)
Neurotransmitter
Endogenous chemicals which relate, amplify, and modulate signals between neurons and other cells. (source: http://en.wikipedia.org/wiki/Neurotransmitter)

Summary

MECP2 Protein

Rett syndrome is an X-linked neurological disorder that causes profound mental retardation in females. Rett syndrome is caused by a mutation or deletion in the MECP2 gene. MECP2 encodes for the production of a guanine binding protein which acts as a transcriptional repressor critical for normal neuronal function. RS results from abnormal gene expression with an obvious clinical phenotype. Elucidating the specific biochemical changes that result from a specific genotype is very difficult. To better assess the metabolic changes associated with Rett syndrome, null mice models were used. Previous studies revealed that Mecp-2 mouse models had important neuroanatomical anomalies such as a size reduction in the entire brain and the structures associated with cognitive and motor function. The metabolic fingerprints of reduced choline phospholipid turnover were detected, indicating diminished cell growth, agreeing with reduced brain size. The main purpose of this pilot study was to study brain metabolic phenotype associated with Mep2 deletion. Brain tissues from Mecp-2 mouse models were used in this study. NMR spectroscopy was used to measure phospholipid levels in the mice. The levels of phospholipids and other metabolites in the null mice were compared to wild type mice. Three choline species: choline, phosphocholine, and glycerophosphocholine showed a trend towards decreased levels in whole brain extracts. 16 phospholipids classes and subclasses showed significant differences between the null mice and the wild type mice. These changes in phospholipids might account for some of the phenotypic symptoms in Rett Syndrome. Phospholipid metabolism plays an essential role in cell growth, as phospholipids form the matrix of cell membranes. With less PL metabolism, growth will slow brain development will be hindered, and metal retardation will develop. These symptoms are hallmark of Rett syndrome. Alterations in osmoregulation in Mecp2-null mice suggest another link to changes in brain size, caused by neurons and astrocytes.Specific changes in neurotransmitter metabolism were also noted, hinting at specific mechanisms of brain dysfunction due to Mecp2deletion.

Relevance to a Traditional Metabolism Course

Phospholipid metabolism is discussed in detail in this course. Understanding the regulation of phospholipid metabolism and it’s implications on growth is extremely important. The phospholipid metabolism pathway is highly regulated, and is strongly correlated with growth and development. Phospholipid metabolism regulation is complex, but this study suggests that MECP-2 plays a key role in the process.

Main Focus

Identify the main focus of the resource. Possible answers include specific organisms, database design, intergration of information, but there are many more possibilities as well.

Reviewer: Alex E.

New Terms

New Term 1
Definition. (source: http://)
New Term 2
Definition. (source: http://)
New Term 3
Definition. (source: http://)
New Term 4
Definition. (source: http://)
New Term 5
Definition. (source: http://)
New Term 6
Definition. (source: http://)
New Term 7
Definition. (source: http://)
New Term 8
Definition. (source: http://)
New Term 9
Definition. (source: http://)
New Term 10
Definition. (source: http://)

Summary

Enter your article summary here. Please note that the punctuation is critical at the start (and sometimes at the end) of each entry. It should be 300-500 words. What are the main points of the article? What questions were they trying to answer? Did they find a clear answer? If so, what was it? If not, what did they find or what ideas are in tension in their findings?

Relevance to a Traditional Metabolism Course

Enter a 100-150 word description of how the material in this article connects to a traditional metabolism course. Does the article relate to particular pathways (e.g., glycolysis, the citric acid cycle, steroid synthesis, etc.) or to regulatory mechanisms, energetics, location, integration of pathways? Does it talk about new analytical approaches or ideas? Does the article show connections to the human genome project (or other genome projects)?

Main Focus

Development of noninvasive techniques for quantifying airway inflammation using NMR technology to examine urine metabolites of Guinea Pigs.

Reviewer: Scott M.

New Terms

Sputum
expectorated matter especially from the air passages in diseases of the lungs, bronchi, or upper respiratory tract. (source: http://www.merriam-webster.com/dictionary/sputum)
high-resolution proton nuclear magnetic resonance (1H NMR)
property that magnetic nuclei have in a magnetic field and applied electromagnetic (EM) pulse or pulses, which cause the nuclei to absorb energy from the EM pulse and radiate this energy back out. High resolution NMR instead probes molecules using the rarer 15N isotope, which has spin-1⁄2. (source: http://en.wikipedia.org/wiki/Nuclear_magnetic_resonance)
dexamethasone
a potent synthetic member of the glucocorticoid class of steroid hormones. It acts as an anti-inflammatory and immunosuppressant. (source: http://en.wikipedia.org/wiki/Dexamethasone)
administered intraperitoneally
injection of a substance into the peritoneum (body cavity). (source: http://en.wikipedia.org/wiki/Intraperitoneal_injection)
ovalbumin
The water-soluble albumin which is the primary component of the egg white. It can be used to stimulate allergic reaction in test subjects. (source: http://www.biology-online.org/dictionary/Ovalbumin)
Airway hyperreactivity (AHR) to histamine
a tendency to sudden narrowing of the air passages of the lungs in response to stimuli [such as a histamine. (source: http://encarta.msn.com/dictionary_561536596/airway_hyperreactivity.html)
eosinophils
A type of leukocyte (white blood cell) with coarse round granules of uniform size within its cytoplasm and typically a bilobate (two-lobed) nucleus. (source: http://www.medterms.com/script/main/art.asp?articlekey=3268)
neutrophils
the most abundant type of white blood cells in mammals. (source: http://en.wikipedia.org/wiki/Neutrophil_granulocyte)

Summary

Current methods for determining airway inflammation and severity of an asthmatic condition involve sputum analysis or invasive studies. A new method that is accurate, simple and noninvasive would allow for much easier determination of diseases. Metabolites, small, non-peptidal molecules, can show the change to a disease state. This paper examined the possibility that measurable metabolites could be found in urine that represent an asthmatic disease state. Guinea Pigs were used as models for five groups. They were control, non-diseased treated, diseased, diseased and challenged, and diseased-challenged and treated. Guinea pigs were used because of the similarity between their and human respiratory systems. The guinea pigs ability to breathe was measured by the pressure in their lungs. Urine samples were collected and measured using high resolution proton nuclear magnetic resonance to determine 50 known, easily identifiable metabolites. The measurements were then analyzed to determine which ones were statistically significantly different between the various groups. What was found was that it is possible to distinguish each of the groups using discriminant analysis. Though not all of the measured metabolites are known or have known functions, what known metabolites that did appear significant were oxalacetate, glucose, and tyrosine. The efforts of the tests conducted proved that urine analysis using NMR would allow for determination of a disease state and that this test is simple, non-invasive and stands to be more accurate than today's available tests. With a single analysis, high resolution proton NMR tests stand to examine the presence and levels of many metabolites. Most alternatives only test for a single metabolite or effective in only one classification of patients. Other knowledge gained during the experiments was the lowered levels of 2-hydroxyisobutyrate, 3-hydroxybutyrate, 3-methyladipate, glucose, tyrosine and creatine in the challenged group. Though this specific information was not sought after in this experiment and may not be relevant if this test were moved to a human test, this information could be used to show expected results in human patients and even help in determine the effects of the disease state on a molecular level.

Relevance to a Traditional Metabolism Course

This article relates several pathways in its examination of urine metabolites and relates multiple systems in that the effects of a disease in the respiratory system may be determined by the result of the renal system. It clearly demonstrates that these systems are integrated. While none of the individual ideas presented are new the paper does present a novel use of NMR technology for determining airway inflammation. This new method is ideal for medical purposes as it does not require new resources or training than is already available to hospitals as well is being fast and accurate.

Websites for future review as Metabolism class assignments

Genetic engineering and biotechnology http://www.genengnews.com/articles/chitem.aspx?aid=1354